|
先日模試を受けた中学生の結果が返ってきました。

順次返却しますね。
模試の「判定」は、一応、「にぎやかし」のために付いていますが、そこは全く見ないでよいです。
模試のあとにやるべきことは「振り返り」「復習」です。
できなかった原因をよく分析してください。
知識が足りなかったのか、理解が足りなかったのか。
あるいは時間配分を間違えてしまったかもしれません。
模試をよい「教材」と考えて、受けた後にちゃんと活用しましょう。
「判定」を気にするなというと、おそらくいろいろな人が「いちゃもん」つけてくるでしょう。
でも、よくそのしくみを知ると、ほんとうに意味がないとわかってきます。
正月に引く「おみくじ」ぐらいの精度はあるかもしれません。
毎朝の「星占い」よりは少しマシかも?
星占い<模試の判定≦おみくじ<シーズン前のプロ野球順位予想
(当社調べ)
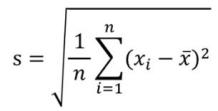
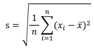
模試の偏差値の計算には数式を使います。

必ず、受けた人の成績=偏差値は計算可能なのです。
ところが、合格可能性を決めるのは、いろいろやってます。
やってるんです。
人間が。
いろいろとやってるんですよ。
内容は絶対に言えないので外には漏れてこないハズです。
でもそうしないと判定が出せないのでやっています。
なぜ、無理にでもやるかというと、「にぎやかし」のためです。
それでも判定を信じたい人は自由です。
ちなみに塾には神社の学業お守りがありますし、おみくじも引きますからね。
※高校生で模試を受けた人は、結果を塾にもってきてください。
判定が悪いと見せない人がいますが、上記の話、まったく意味不明のことです。
判定ではなく、ほかの部分で見たいところがあるので見せてください。
 にほんブログ村
 にほんブログ村
|