TOP½ÎĹ¥Ö¥í¥°Æ¬¤Î°­¤¤¿Í

2026ǯ01·î19Æü ·îÍËÆü Ƭ¤Î°­¤¤¿Í¡¡¡¡¡¡¡¡¡¡¡Ê¡¡½ÎĹ¥Ö¥í¥°¡¡¡Ë

º£²ó¤ÎÂç³ØÆþ³Ø¶¦Ḁ̈ƥ¹¥È¤Î¸½Âåʸ¤ÎÌäÂê¤Ç¤É¤¦¤·¤Æ¤â¥â¥Î¿½¤·¤¿¤¯¡¦¡¦¡¦

¤¿¤Ö¤ó¡¤½ÐÂêʸ¡¤»ñÎÁ¤ò½ñ¤¤¤¿¿Í¤ÎƬ¤¬°­¤¹¤®¤Æ¡¤¤«¤·¤³¤¤¼õ¸³À¸¤Ï¸ÍÏǤ俤˰㤤¤Ê¤¤¤Î¤Ç¤¹¡¦¡¦¡¦

¥¤¥ï¥·¤ÎÌäÂê¤Ç¤¹¡£
img1

¥¤¥ï¥·¤Î»Æµû¡ÊÀ¸¤Þ¤ì¤¿¤Ð¤«¤ê¤Î¾®¤µ¤¤¤ä¤Ä¡Ë¤Ï¡¤£±Æü¤Ë£²£°¡ó¤â»à¤Ì¤½¤¦¤Ç¤¹¡£

¤À¤«¤é¡¤¼¡¤ÎÆü¤Ë¤Ï£±£°£°£°£°Èø¤¤¤¿¤È¤¹¤ë¤È£¸£°£°£°Èø¤Ë¸º¤ë¤Î¤Ç¤¹¡£

¤Þ¤¢¡¤¤½¤ì¤Ï¤è¤¤¡£

¤½¤Î¼¡¤Ë¡¤

¡Ö£±£°Æü¸å¤Ë¤Ï£±£°£·£´Èø¡¤£³£°Æü¸å¤Ï¤ï¤º¤«£±£²Èø¤È¤¤¤¦¸·¤·¤µ¤Ç¤¹¡×

¤È½ñ¤¤¤Æ¤¢¤ë¤Î¤Ç¤¹¡£

¤³¤ì¤ò¸«¤Æ¡¤µ¤À䤷¤½¤¦¤Ë¤Ê¤ê¤Þ¤·¤¿¡£

Ƭ¤¬°­¤¹¤®¤ë¤Î¤Ç¤¹¡£

¤¨¤Ã¡©·×»»¤Þ¤Á¤¬¤¤¤·¤Æ¤ë¤Î¡©

¤½¤¦»×¤Ã¤¿¤¢¤Ê¤¿¤âÁêÅöƬ°­¤¤¤Ç¤¹¡£

¤Á¤ã¤ó¤È¥¨¥¯¥»¥ë¤Ç·×»»¤¹¤ë¤È¡¤
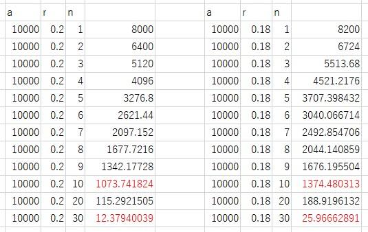
img2
£±£°Æü¸å¤Ï1073.7418¡Ä»Í¼Î¸ÞÆþ¤·¤Æ1074¤Ë¤Ê¤ê¡¤
£³£°Æü¸å¤Ï12.3794¡Ä¤À¤«¤é12Èø¤Ç¤¹¤Í¡£

¤³¤Î·×»»·ë²Ì¤òÀ°¿ôÃͤˤޤë¤á¤¿¥â¥Î¤ò¤½¤Î¤Þ¤Þ½ñ¤¤¤Æ¤·¤Þ¤¦Æ¬¤Î°­¤µ¤Ë¤¢¤­¤ì²Ì¤Æ¤Æ¤¤¤Þ¤¹¡£

1074Èø¤Ê¤Î¡©
1075Èø¤Ë¤Ï¤Ê¤é¤Ê¤¤¡©
1100Èø¤Î²ÄǽÀ­¤â¤«¤Ê¤ê¤¢¤ê¤Þ¤¹¤è¡ª

¤½¤Î£²£°¡ó¸º¤ë¤È¤¤¤¦ÏäÎÍ­¸ú¿ô»ú¤òÁ´¤¯¹Íθ¤·¤Æ¤¤¤Ê¤¤¡£

¤³¤¦¤¤¤¦¤Î¤Ï£±£¸¡ó¤°¤é¤¤¤ÎÃͤò¤ª¤è¤½£²£°¡ó¤°¤é¤¤¤Èɽ¸½¤·¤Æ¤¤¤ë¤«¤â¤·¤ì¤Ê¤¤¡£

¤¹¤ë¤È¡¤£±£°Æü¸å¤Ï1374Èø¤È¤Ê¤Ã¤Æ300Èø¤â¿¤¯¤Ê¤ë¡£

£³£°Æü¸å¤Ë¤Ï26Èø¤È¤Ê¤Ã¤Æ¡¤12Èø¤ÎÇܰʾåÀ¸¤­»Ä¤Ã¤Æ¤Þ¤¹¤è¤Í¡£

12Èø¤È¤¹¤ì¤Ð¸·¤·¤¤À¸Â¸¶¥Áè¤Ç¡¤26Èø¤À¤È¤Á¤ç¤Ã¤ÈÈù̯¡©

¤Þ¤È¤â¤ÊƬ¤Î»ý¤Á¼ç¤Ê¤é¡¤£±Æü¤Ë£²£°¡ó¤â»à¤Ì¤Î¤Ê¤é¡¤

¡Ö£±£°Æü¸å¤Ë¤Ï£±£±£°£°Èø¤°¤é¤¤¤Ë¤Ê¤Ã¤Æ¡¤£³£°Æü¸å¤Ë¤Ï£±£°¡Á£²£°Èø¤°¤é¤¤¤·¤«À¸¤­»Ä¤é¤Ê¤¤¤Î¤Ç¤¹¡×¤È½ñ¤­¤Þ¤¹¤è¡£

¤³¤¦¤¤¤¦¿ôÎ̤ΰ·¤¤¤Ï¡¤¤¤¤ï¤æ¤ëʸ·ÏǾ¤Î¿Í¤Ë¤ÏÆñ¤·¤¤¤Î¤«¤â¤·¤ì¤Þ¤»¤ó¤¬¡¤¼Â¤Ïʸ·ÏÍý·Ï¤ÎÌäÂê¤Ç¤Ï¤Ê¤¤¤Î¤Ç¤¹¡£

ʸ·Ï¤Ç¤âƬ¤Î¤è¤¤¿Í¤Ï¤Á¤ã¤ó¤È¿ôÃͤò°·¤¨¤ë¤·¡¤Íý·Ï¤Ç¥À¥á¤Ê¿Í¤â¿¤¤¤Ç¤¹¡£


¤È¤¤¤¦¤ï¤±¤Ç¡¤Â裳Ìä¤ÎÌ䣳¤Ç¸í¤ê¤ò´Þ¤à¤â¤Î¤òÁª¤ÖÀßÌ䤬¤¢¤ê¤Þ¤·¤¿¤¬¡¤­¤¤âÀµÅú¤È¤Ê¤ê¤Þ¤¹¡£
¡Ö¶ñÂÎŪ¤Ê¿ôÃͤòµó¤²¤ë¤³¤È¤Ç¡¤¥¤¥ï¥·¤Î»Æµû¤¬¸º¤Ã¤Æ¤¤¤¯ÍͻҤò¤è¤êÍý²ò¤·¤ä¤¹¤¯¤·¤Æ¤¤¤ë¡×¤Ï´°Á´¤Ë¸í¤ê¤Ç¤¹¡£

Í­¸ú¿ô»ú¤ò¹Íθ¤·¤Ê¤¤¿ôÃͤ¬½Ð¤Æ¤­¤ÆÆÉ¼Ô¤Ïº®Í𤷡¤Íý²òÉÔǽ¤Ë¤Ê¤ë¤«¤é¤Ç¤¹¡£

º£²ó¼õ¸³¤·¤¿Æ¬¤Î¤¤¤¤¼õ¸³À¸¤¿¤Á¤Ï¡¤ÁêÅö¶ìÏ«¤·¤¿¤³¤È¤Ç¤·¤ç¤¦¡£

Âç³ØÆþ³Ø¶¦Ḁ̈ƥ¹¥È¤Î¸½Âåʸ¤òºîÀ®¤·¤¿Æ¬¤Î°­¤¤¿Í¤¿¤Á¤Ï³¤¤è¤ê¿¼¤¯È¿¾Ê¤·¤Æ¤¯¤À¤µ¤¤¤Í¡£




¤Ë¤Û¤ó¥Ö¥í¥°Â¼ ¼õ¸³¥Ö¥í¥° ¹â¹»¼õ¸³¡Ê»ØÆ³Ž¥ÊÙ¶¯Ë¡¡Ë¤Ø
¤Ë¤Û¤ó¥Ö¥í¥°Â¼


¤Ë¤Û¤ó¥Ö¥í¥°Â¼ ²Ê³Ø¥Ö¥í¥° Ãϳء¦Ãϵå²Ê³Ø¤Ø
¤Ë¤Û¤ó¥Ö¥í¥°Â¼

 

 

Èøºê½Î ÉÙÅ͵¼¼

ÅÅ¡¡ÏÃ

¼õÉÕ»þ´Ö

9:00¡Á21:30

ÄêµÙÆü¡¦È÷¹Í

²Ð¡¦ÅÚ¡¦ÆüÍËÆü

½»¡¡½ê

¢©569-1145

ÂçºåÉܹâÄлÔÉÙÅĵÖÄ®7-10-1F

¸ò¡¡ÄÌ

JRÅ쳤ƻÀþÀÝÄÅÉÙÅÄ±Ø ÅÌÊâ5ʬ ºåµÞÉÙÅĤ«¤é5ʬ

¥Ú¡¼¥¸¥È¥Ã¥×¤Ø